【819资料勘误】24年(放的是正确答案)

2024年1月31日之后购买的同学看此文档!

!!问题反馈方式(发现错误,都欢迎大家反馈~):
https://docs.qq.com/form/page/DQXRucUpua0doTWRZ

1、白皮书5.8a 收敛域如下修改:

【819资料勘误】24年(放的是正确答案)插图

2、白皮书手写答案-例题9.5

【819资料勘误】24年(放的是正确答案)插图1

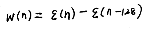
3、奥本9.35解析127改成128

【819资料勘误】24年(放的是正确答案)插图2

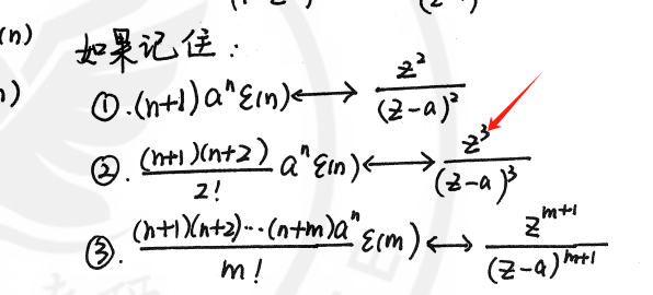
4、胡光锐教材,97页修改

【819资料勘误】24年(放的是正确答案)插图3
THE END
喜欢就支持一下吧
点赞10 分享
评论 抢沙发

请登录后发表评论

    暂无评论内容