【白皮书纠错】22年(放的是正确答案)

2023年1月31日之后购买的同学不用看此文档!

!!问题反馈方式(发现错误,都欢迎大家反馈~):
https://docs.qq.com/form/page/DQXRucUpua0doTWRZ

习题2.22

【白皮书纠错】22年(放的是正确答案)插图

习题5.8a第二问

【白皮书纠错】22年(放的是正确答案)插图1

习题6.4

【白皮书纠错】22年(放的是正确答案)插图2

习题6.18

【白皮书纠错】22年(放的是正确答案)插图3

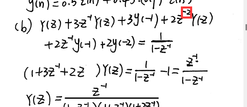
白皮书习题9.9b

【白皮书纠错】22年(放的是正确答案)插图4

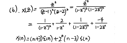
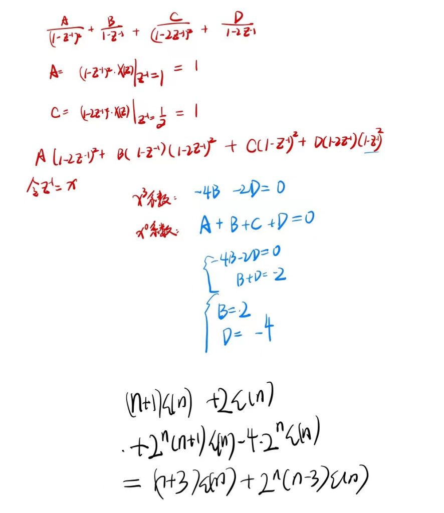
白皮书习题9.5b

【白皮书纠错】22年(放的是正确答案)插图5

详细过程如下:

【白皮书纠错】22年(放的是正确答案)插图6
THE END
喜欢就支持一下吧
点赞12 分享
评论 抢沙发

请登录后发表评论

    暂无评论内容