!!问题反馈方式(发现错误,都欢迎大家反馈~):
https://docs.qq.com/form/page/DQXRucUpua0doTWRZ
白皮书例题1.5

白皮书1.3d

白皮书例题2.2 题干

白皮书例题2.9b

白皮书例题3.9(a)

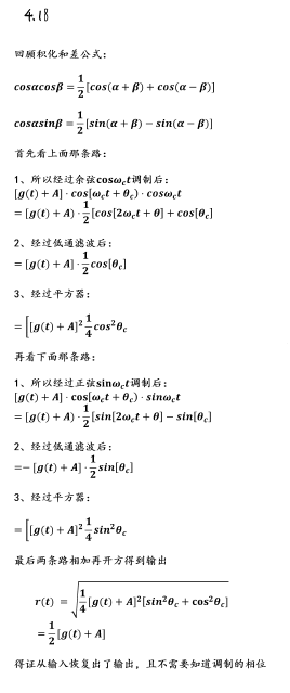
白皮书4.18答案

白皮书习题4.21


习题5.5 c

习题5.23
这道题题目数据有问题,没有出好,会方法即可。
白皮书例题6.9(d)少了2分之3

习题6.9

例题7.4

白皮书习题7.18 第三问题干

白皮书习题8.1 题目和答案纠正,sin括号内只有5分之πn

白皮书例题8.2

习题6.11题干

白皮书习题8.1 (j)就是等比数列求和,最后结果为一个数


白皮书习题8.5 (e)

白皮书例题8.6

白皮书习题9.1c

白皮书习题9.4第一小问

白皮书例题9.5

白皮书例题9.11(c)

白皮书例题9.12图
分子少了个系数

THE END











暂无评论内容