2021共16篇

【819真题纠错】21年(放的是正确答案)

【819真题纠错】21年(放的是正确答案)-上海交大819考研
!!问题反馈方式(发现错误,都欢迎大家反馈~):https://docs.qq.com/form/page/DQXRucUpua0doTWRZ 2021年第一题 2021年第三题 2021年第五题 2021年真题选择题第五题,选D 2021年真题第八题:...
通信考研小马哥的头像-上海交大819考研通信考研小马哥2年前
029311

【DSP课后题纠错】21年(放的是正确答案)

【DSP课后题纠错】21年(放的是正确答案)-上海交大819考研
2022年1月31日之后购买的同学不用看此文档! !!问题反馈方式(发现错误,都欢迎大家反馈~):https://docs.qq.com/form/page/DQXRucUpua0doTWRZ 习题4.6b - 笔误 习题4.6(a)少了...
通信考研小马哥的头像-上海交大819考研通信考研小马哥2年前
03736

【白皮书纠错】20—21年(放的是正确答案)

【白皮书纠错】20—21年(放的是正确答案)-上海交大819考研
2022年1月31日之后购买的同学不用看此文档! !!问题反馈方式(发现错误,都欢迎大家反馈~):https://docs.qq.com/form/page/DQXRucUpua0doTWRZ 习题1.4d 习题1.22 习题1.24 习题2.9b 习题2.2...
通信考研小马哥的头像-上海交大819考研通信考研小马哥2年前
023715

21年上海交通大学考研招生简章(校本部)

21年上海交通大学考研招生简章(校本部)-上海交大819考研
注:1.本表不含非全日制硕士招生计划。 2.推荐免试录取退役大学生士兵专项招生计划10名。 3.本表仅供考生参考,实际招生人数根据教育部正式下达当年招生计划和生源情况确定。
通信考研小马哥的头像-上海交大819考研通信考研小马哥2年前
01527

21年上海交大电院复试名单公示

21年上海交大电院复试名单公示-上海交大819考研
来源:上海交通大学电子信息与电气工程学院官网(https://www.seiee.sjtu.edu.cn/) 完整名单pdf,登录后下载 Copyright © 上海交通大学电子信息与电气工程学院 版权所有 转载于网络,侵删
通信考研小马哥的头像-上海交大819考研通信考研小马哥2年前
034514

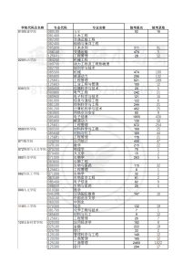
21年上海交大—报录比

21年上海交大—报录比-上海交大819考研
来源:上海交通大学官网(https://www.sjtu.edu.cn/) 完整报录比pdf,登录后下载 Copyright © 上海交通大学 版权所有 转载于网络,侵删
通信考研小马哥的头像-上海交大819考研通信考研小马哥2年前
06611

三个月复习409–平平无奇的上交819考研经验

三个月复习409--平平无奇的上交819考研经验-上海交大819考研
本人是上海交通大学IEEE CS本科,九月底没拿到推免开始准备考研,整个考研过程只用了三个月。最后拿到了409的分数,虽然不是很高但是也差不多够用了。今天就给大家简单分享一下快速备考的一个方...
通信考研小马哥的头像-上海交大819考研通信考研小马哥2年前
088413

21年上海交大电院考研复试办法

21年上海交大电院考研复试办法-上海交大819考研
报考电子信息与电气工程学院2021年非专项计划全日制硕士研究生的考生获得我院各招生专业复试资格的必要条件是:满足上海交通大学工科门类的复试基本分数线(政治≥55分;英语≥55分;业务课一≥...
通信考研小马哥的头像-上海交大819考研通信考研小马哥2年前
024512

21年一战上海交通大学电子系819初试及复试逆袭经验贴

21年一战上海交通大学电子系819初试及复试逆袭经验贴-上海交大819考研
个人背景介绍(21届考研,报考电子系电子信息专硕——电子与通信工程)本科:某985,加权排名年级前27%,参加过两年电赛培训。初试成绩:总分370– (21年分数线355),出乎意料的数学爆炸,所...
通信考研小马哥的头像-上海交大819考研通信考研小马哥2年前
051213

一万次悲伤,万一的惊喜 ——记上海交大819考研经历

一万次悲伤,万一的惊喜         ——记上海交大819考研经历-上海交大819考研
我毕业于北京一所211,本科专业通信工程,考上交电子系专硕,20年一战凉凉,无缝衔接今年幸运上岸。第一年初试差10分进复试,第二年初试因为数学和政治比较好能进,数学140+,政治75+。其他成绩...
通信考研小马哥的头像-上海交大819考研通信考研小马哥2年前
025112