!!问题反馈方式(发现错误,都欢迎大家反馈~):
https://docs.qq.com/form/page/DQXRucUpua0doTWRZ
习题4.6b – 笔误

习题4.6(a)少了条件

习题4.8


习题4.9a

习题4.10(b)题干多了一个0


4.15 题干

习题4.16题干:

4.17题干

4.17(b)

4.18题目错误

习题4.21解析笔误:

习题4.22(c)

习题4.23笔误

习题4.23少了=

习题4.25

习题4.26勘误


习题4.29

习题4.33

习题4.34图有误

习题4.35

习题4.37题干图错

习题4.38

习题4.40

习题 4.41

习题4.42(c)

习题4.44题干

习题4.44(b)

习题4.45


习题4.53题图错误

奥本教材p196,5.2 错误

奥本教材p199,5.15 错误

习题5.3笔误

习题5.5结果

习题5.15(b)

习题5.21(d)x(n)改为h(n)

习题5.21(e)

习题5.25

习题5.28


习题5.30

奥本5.31(c)

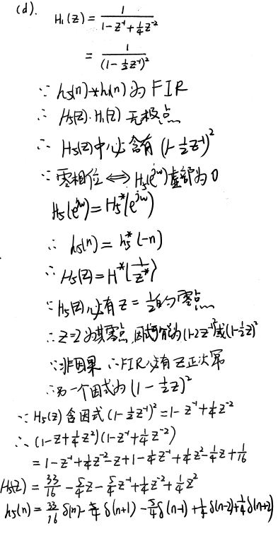
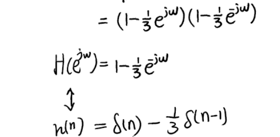
习题5.34(d)

习题5.36(d)

习题5.38题干

习题5.46

习题5.52

习题5.53(2)题干出错


习题5.54题干错误:

习题5.54(a)

习题5.55题干

习题5.56(d)

习题5.66

习题5.71(c)

习题6.6(c)

习题6.11

习题6.23


习题6.25(b)

习题6.30题干错误

习题6.30答案笔误


习题7.22(b)

习题7.30(c)

习题7.33(b)


习题7.35( 全程班讲解)



习题7.37题干

习题7.37(a)

习题7.44题干和答案纠正



习题8.13

习题8.21(b)


习题8.26(c)笔误5改成3

习题8.27(c)

习题8.28

习题8.33
(b)

习题8.34(b)

习题8.37(1)

习题8.37
(1)

(2)题干

(7)

习题8.39

习题8.47(d)

习题8.50

习题8.61-改为DFT

9.26

习题9.29(b)

习题9.35

9.40(c)

习题9.47(b)

(e)

(f)

习题10.1题干

习题10.4题干

习题10.6

习题10.11

习题10.21

习题10.23
答案中:方法2和方法3交换位置
习题10.42(课上讲)

习题10.44题干

习题11.12

习题11.13

习题11.17


习题11.23

习题11.25


习题11.27

THE END











暂无评论内容