【819真题纠错】21年(放的是正确答案)

!!问题反馈方式(发现错误,都欢迎大家反馈~):
https://docs.qq.com/form/page/DQXRucUpua0doTWRZ

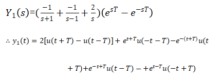
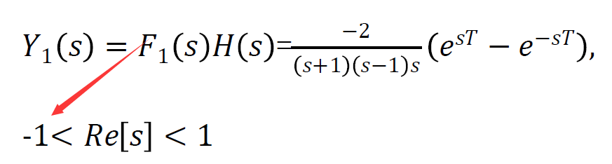
2021年第一题

【819真题纠错】21年(放的是正确答案)插图
【819真题纠错】21年(放的是正确答案)插图1

2021年第三题

【819真题纠错】21年(放的是正确答案)插图2
【819真题纠错】21年(放的是正确答案)插图3

2021年第五题

【819真题纠错】21年(放的是正确答案)插图4

2021年真题选择题第五题,选D

【819真题纠错】21年(放的是正确答案)插图5

2021年真题第八题:

【819真题纠错】21年(放的是正确答案)插图6
【819真题纠错】21年(放的是正确答案)插图7

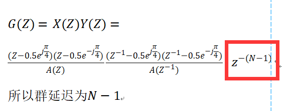
2021年第九题

【819真题纠错】21年(放的是正确答案)插图8

21年第十题:

【819真题纠错】21年(放的是正确答案)插图9
【819真题纠错】21年(放的是正确答案)插图10
THE END
喜欢就支持一下吧
点赞11 分享
评论 抢沙发

请登录后发表评论

    暂无评论内容