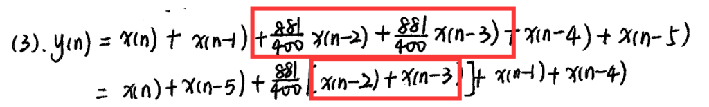
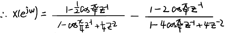
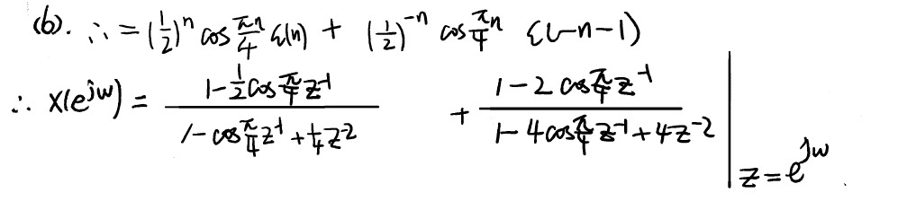
【819真题纠错】18年(放的是正确答案)通信考研小马哥2年前更新关注私信01828 !!问题反馈方式(发现错误,都欢迎大家反馈~):https://docs.qq.com/form/page/DQXRucUpua0doTWRZ 2018年第二道选择题 2018年第六道选择题 2018年选择第六题 2018年选择题第20题: 2018年第八题 THE END真题勘误资料勘误# 819# 2018 喜欢就支持一下吧点赞8 分享QQ空间微博QQ好友海报分享复制链接收藏
暂无评论内容