资料勘误 第2页

【819真题纠错】14年(放的是正确答案)

【819真题纠错】14年(放的是正确答案)-上海交大819考研
!!问题反馈方式(发现错误,都欢迎大家反馈~):https://docs.qq.com/form/page/DQXRucUpua0doTWRZ ● 2014年第六题题干:
通信考研小马哥的头像-上海交大819考研通信考研小马哥2年前
025814

【819真题纠错】13年(放的是正确答案)

【819真题纠错】13年(放的是正确答案)-上海交大819考研
!!问题反馈方式(发现错误,都欢迎大家反馈~):https://docs.qq.com/form/page/DQXRucUpua0doTWRZ ● 2013年第六题
通信考研小马哥的头像-上海交大819考研通信考研小马哥2年前
01535

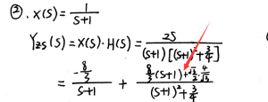
【DSP课后题纠错】21年(放的是正确答案)

【DSP课后题纠错】21年(放的是正确答案)-上海交大819考研
2022年1月31日之后购买的同学不用看此文档! !!问题反馈方式(发现错误,都欢迎大家反馈~):https://docs.qq.com/form/page/DQXRucUpua0doTWRZ 习题4.6b - 笔误 习题4.6(a)少了...
通信考研小马哥的头像-上海交大819考研通信考研小马哥2年前
03746

【819真题纠错】12年(放的是正确答案)

【819真题纠错】12年(放的是正确答案)-上海交大819考研
!!问题反馈方式(发现错误,都欢迎大家反馈~):https://docs.qq.com/form/page/DQXRucUpua0doTWRZ 2012年第一题: 2012年第三题; 2012年第七题题干: 2012年第四题: 2012年第八题:
通信考研小马哥的头像-上海交大819考研通信考研小马哥2年前
01638

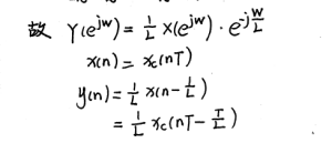
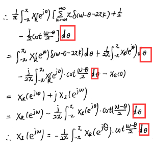
【819真题纠错】05—10年(放的是正确答案)

【819真题纠错】05—10年(放的是正确答案)-上海交大819考研
!!问题反馈方式(发现错误,都欢迎大家反馈~):https://docs.qq.com/form/page/DQXRucUpua0doTWRZ 2004年第五题-所有dw改成下面红框 第七题: 2005年第一题 2005年最后一题,符号为卷积 2006...
通信考研小马哥的头像-上海交大819考研通信考研小马哥2年前
03129

【DSP课后题纠错】22年(放的是正确答案)

【DSP课后题纠错】22年(放的是正确答案)-上海交大819考研
2023年1月31日之后购买的同学不用看此文档! !!问题反馈方式(发现错误,都欢迎大家反馈~):https://docs.qq.com/form/page/DQXRucUpua0doTWRZ DSP4.40-频域解法 习题4.16 需要忽略掉图4.28...
通信考研小马哥的头像-上海交大819考研通信考研小马哥2年前
03289

【DSP课后题纠错】23年(放的是正确答案)

【DSP课后题纠错】23年(放的是正确答案)-上海交大819考研
2024年1月31日之后购买的同学不用看此文档! !!问题反馈方式(发现错误,都欢迎大家反馈~):https://docs.qq.com/form/page/DQXRucUpua0doTWRZ 习题4.31解析 习题4.34解析 习题4.41题干 习题...
通信考研小马哥的头像-上海交大819考研通信考研小马哥2年前
06099

【白皮书纠错】20—21年(放的是正确答案)

【白皮书纠错】20—21年(放的是正确答案)-上海交大819考研
2022年1月31日之后购买的同学不用看此文档! !!问题反馈方式(发现错误,都欢迎大家反馈~):https://docs.qq.com/form/page/DQXRucUpua0doTWRZ 习题1.4d 习题1.22 习题1.24 习题2.9b 习题2.2...
通信考研小马哥的头像-上海交大819考研通信考研小马哥2年前
023815

【白皮书纠错】22年(放的是正确答案)

【白皮书纠错】22年(放的是正确答案)-上海交大819考研
2023年1月31日之后购买的同学不用看此文档! !!问题反馈方式(发现错误,都欢迎大家反馈~):https://docs.qq.com/form/page/DQXRucUpua0doTWRZ 习题2.22 习题5.8a第二问 习题6.4 习题6.18 白...
通信考研小马哥的头像-上海交大819考研通信考研小马哥2年前
020212

【教材纠错】(放的是正确答案)

【教材纠错】(放的是正确答案)-上海交大819考研
!!问题反馈方式(发现错误,都欢迎大家反馈~):https://docs.qq.com/form/page/DQXRucUpua0doTWRZ SS 胡光锐第二版信号与系统,第20页 胡光锐第二版信号与系统,第20页(1.57),最后一个=...
通信考研小马哥的头像-上海交大819考研通信考研小马哥2年前
0210823