资料勘误共21篇

【白皮书纠错】22年(放的是正确答案)

【白皮书纠错】22年(放的是正确答案)-上海交大819考研
2023年1月31日之后购买的同学不用看此文档! !!问题反馈方式(发现错误,都欢迎大家反馈~):https://docs.qq.com/form/page/DQXRucUpua0doTWRZ 习题2.22 习题5.8a第二问 习题6.4 习题6.18 白...
通信考研小马哥的头像-上海交大819考研通信考研小马哥2年前
019112

【819真题纠错】17年(放的是正确答案)

【819真题纠错】17年(放的是正确答案)-上海交大819考研
!!问题反馈方式(发现错误,都欢迎大家反馈~):https://docs.qq.com/form/page/DQXRucUpua0doTWRZ ● 2017年第三题c
通信考研小马哥的头像-上海交大819考研通信考研小马哥2年前
01848

【白皮书纠错】20—21年(放的是正确答案)

【白皮书纠错】20—21年(放的是正确答案)-上海交大819考研
2022年1月31日之后购买的同学不用看此文档! !!问题反馈方式(发现错误,都欢迎大家反馈~):https://docs.qq.com/form/page/DQXRucUpua0doTWRZ 习题1.4d 习题1.22 习题1.24 习题2.9b 习题2.2...
通信考研小马哥的头像-上海交大819考研通信考研小马哥2年前
022515

【819真题纠错】18年(放的是正确答案)

【819真题纠错】18年(放的是正确答案)-上海交大819考研
!!问题反馈方式(发现错误,都欢迎大家反馈~):https://docs.qq.com/form/page/DQXRucUpua0doTWRZ 2018年第二道选择题 2018年第六道选择题 2018年选择第六题 2018年选择题第20题: 2018年第...
通信考研小马哥的头像-上海交大819考研通信考研小马哥2年前
01748

【DSP课后题纠错】23年(放的是正确答案)

【DSP课后题纠错】23年(放的是正确答案)-上海交大819考研
2024年1月31日之后购买的同学不用看此文档! !!问题反馈方式(发现错误,都欢迎大家反馈~):https://docs.qq.com/form/page/DQXRucUpua0doTWRZ 习题4.31解析 习题4.34解析 习题4.41题干 习题...
通信考研小马哥的头像-上海交大819考研通信考研小马哥2年前
05969

【819真题纠错】19年(放的是正确答案)

【819真题纠错】19年(放的是正确答案)-上海交大819考研
!!问题反馈方式(发现错误,都欢迎大家反馈~):https://docs.qq.com/form/page/DQXRucUpua0doTWRZ 2019年第五题第二问 2019年第六题第四问 2019年第十题
通信考研小马哥的头像-上海交大819考研通信考研小马哥2年前
015711

【DSP课后题纠错】22年(放的是正确答案)

【DSP课后题纠错】22年(放的是正确答案)-上海交大819考研
2023年1月31日之后购买的同学不用看此文档! !!问题反馈方式(发现错误,都欢迎大家反馈~):https://docs.qq.com/form/page/DQXRucUpua0doTWRZ DSP4.40-频域解法 习题4.16 需要忽略掉图4.28...
通信考研小马哥的头像-上海交大819考研通信考研小马哥2年前
03169

【819真题纠错】20年(放的是正确答案)

【819真题纠错】20年(放的是正确答案)-上海交大819考研
!!问题反馈方式(发现错误,都欢迎大家反馈~):https://docs.qq.com/form/page/DQXRucUpua0doTWRZ 2020年第一题第2小问 2020年真题第四题题干漏印 2020年第一题第2小问 2020年第二题 2020年...
通信考研小马哥的头像-上海交大819考研通信考研小马哥2年前
02105

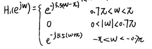
【819真题纠错】05—10年(放的是正确答案)

【819真题纠错】05—10年(放的是正确答案)-上海交大819考研
!!问题反馈方式(发现错误,都欢迎大家反馈~):https://docs.qq.com/form/page/DQXRucUpua0doTWRZ 2004年第五题-所有dw改成下面红框 第七题: 2005年第一题 2005年最后一题,符号为卷积 2006...
通信考研小马哥的头像-上海交大819考研通信考研小马哥2年前
03029

【819真题纠错】21年(放的是正确答案)

【819真题纠错】21年(放的是正确答案)-上海交大819考研
!!问题反馈方式(发现错误,都欢迎大家反馈~):https://docs.qq.com/form/page/DQXRucUpua0doTWRZ 2021年第一题 2021年第三题 2021年第五题 2021年真题选择题第五题,选D 2021年真题第八题:...
通信考研小马哥的头像-上海交大819考研通信考研小马哥2年前
028311