资料勘误共21篇

【819真题纠错】15年(放的是正确答案)

【819真题纠错】15年(放的是正确答案)-上海交大819考研
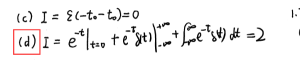
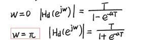
!!问题反馈方式(发现错误,都欢迎大家反馈~):https://docs.qq.com/form/page/DQXRucUpua0doTWRZ 2015年真题第二题第二问 2015年第三题题目,稳态响应为-1 2015年第三题振幅函数 2015年第四...
通信考研小马哥的头像-上海交大819考研通信考研小马哥2年前
027410

【教材纠错】(放的是正确答案)

【教材纠错】(放的是正确答案)-上海交大819考研
!!问题反馈方式(发现错误,都欢迎大家反馈~):https://docs.qq.com/form/page/DQXRucUpua0doTWRZ SS 胡光锐第二版信号与系统,第20页 胡光锐第二版信号与系统,第20页(1.57),最后一个=...
通信考研小马哥的头像-上海交大819考研通信考研小马哥2年前
0210823

【819资料勘误】24年(放的是正确答案)

【819资料勘误】24年(放的是正确答案)-上海交大819考研
2024年1月31日之后购买的同学看此文档! !!问题反馈方式(发现错误,都欢迎大家反馈~):https://docs.qq.com/form/page/DQXRucUpua0doTWRZ 1、白皮书5.8a 收敛域如下修改: 2、白皮书手写答...
通信考研小马哥的头像-上海交大819考研通信考研小马哥2年前
0139310

【白皮书纠错】20—21年(放的是正确答案)

【白皮书纠错】20—21年(放的是正确答案)-上海交大819考研
2022年1月31日之后购买的同学不用看此文档! !!问题反馈方式(发现错误,都欢迎大家反馈~):https://docs.qq.com/form/page/DQXRucUpua0doTWRZ 习题1.4d 习题1.22 习题1.24 习题2.9b 习题2.2...
通信考研小马哥的头像-上海交大819考研通信考研小马哥2年前
023815

【白皮书纠错】22年(放的是正确答案)

【白皮书纠错】22年(放的是正确答案)-上海交大819考研
2023年1月31日之后购买的同学不用看此文档! !!问题反馈方式(发现错误,都欢迎大家反馈~):https://docs.qq.com/form/page/DQXRucUpua0doTWRZ 习题2.22 习题5.8a第二问 习题6.4 习题6.18 白...
通信考研小马哥的头像-上海交大819考研通信考研小马哥2年前
020212

【白皮书纠错】23年(放的是正确答案)

【白皮书纠错】23年(放的是正确答案)-上海交大819考研
2024年1月31日之后购买的同学不用看此文档! !!问题反馈方式(发现错误,都欢迎大家反馈~):https://docs.qq.com/form/page/DQXRucUpua0doTWRZ 白皮书例题1.5  白皮书1.3d 白皮书例题2....
通信考研小马哥的头像-上海交大819考研通信考研小马哥2年前
056414

【819真题纠错】18年(放的是正确答案)

【819真题纠错】18年(放的是正确答案)-上海交大819考研
!!问题反馈方式(发现错误,都欢迎大家反馈~):https://docs.qq.com/form/page/DQXRucUpua0doTWRZ 2018年第二道选择题 2018年第六道选择题 2018年选择第六题 2018年选择题第20题: 2018年第...
通信考研小马哥的头像-上海交大819考研通信考研小马哥2年前
01828

【819真题纠错】22年(放的是正确答案)

【819真题纠错】22年(放的是正确答案)-上海交大819考研
!!问题反馈方式(发现错误,都欢迎大家反馈~):https://docs.qq.com/form/page/DQXRucUpua0doTWRZ 【复试 资料里面有 22真题答案】 第一道题(4) 选择题第三题小写的x: 第八题第二问: 2...
通信考研小马哥的头像-上海交大819考研通信考研小马哥2年前
037613

【819真题纠错】23年(放的是正确答案)

【819真题纠错】23年(放的是正确答案)-上海交大819考研
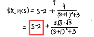
!!问题反馈方式(发现错误,都欢迎大家反馈~):https://docs.qq.com/form/page/DQXRucUpua0doTWRZ 第三题 第五题 第十题:
通信考研小马哥的头像-上海交大819考研通信考研小马哥2年前
03975

【DSP课后题纠错】21年(放的是正确答案)

【DSP课后题纠错】21年(放的是正确答案)-上海交大819考研
2022年1月31日之后购买的同学不用看此文档! !!问题反馈方式(发现错误,都欢迎大家反馈~):https://docs.qq.com/form/page/DQXRucUpua0doTWRZ 习题4.6b - 笔误 习题4.6(a)少了...
通信考研小马哥的头像-上海交大819考研通信考研小马哥2年前
03746